Trades von Sassl

      Heute nur einmal gehandelt, immerhin 20 Pips. Ursprünglich wollte ich in der Gegend um 00 aussteigen, durch die großen Rücksetzer etwas verunsichert schloss ich allerdings vorzeitig.
      Bilder
      • 34.JPG

        118,92 kB, 1.093×631, 1.127 mal angesehen
      • 0.JPG

        28,89 kB, 858×136, 1.103 mal angesehen
      "Ich habe hierfür einen wahrhaft wunderbaren Beweis, doch ist dieser Rand hier zu schmal, um ihn zu fassen."
      Hallo,

      vorhin lag beim GBPUSD eine größere Bewegung "irgendwie in der Luft" und ich setzte glücklicherweise auf die richtige Richtung. Zusätzlich wurde noch eine EURUSD-Position eingestoppt. Aufgrund der fortgeschrittenen Zeit glaubte ich nicht recht daran, dass die vermutlich bedeutenden Unterstützungen unterschritten würden und verkaufte an diesen Punkten (+100 GBPUSD :) ) Ein Nachziehen des Stops finde ich zwar eigentlich besser, allerdings auch mental ziemlich belastend, scheinbar kommt das zumindest meiner Psyche nicht gerade entgegen. Vielleicht gewöhn ich mich noch dran...
      Bilder
      • 29.JPG

        54,05 kB, 617×495, 1.140 mal angesehen
      • 30.JPG

        56,34 kB, 611×491, 1.106 mal angesehen
      • 31.JPG

        60,75 kB, 611×493, 1.088 mal angesehen
      • 0.JPG

        140,67 kB, 896×398, 1.098 mal angesehen
      "Ich habe hierfür einen wahrhaft wunderbaren Beweis, doch ist dieser Rand hier zu schmal, um ihn zu fassen."
      Ein Blick auf die Uhr hätte mich bei GBPUSD warnen sollen...
      Bilder
      • 24.JPG

        46,01 kB, 610×421, 1.099 mal angesehen
      • 0.JPG

        190,51 kB, 898×496, 1.090 mal angesehen
      • 23.JPG

        46,29 kB, 597×416, 1.085 mal angesehen
      "Ich habe hierfür einen wahrhaft wunderbaren Beweis, doch ist dieser Rand hier zu schmal, um ihn zu fassen."
      Da ich zwei Positionen besaß und für einen extremeren Abstieg die Dynamik eher fehlte, wurde die EURUSD-Position an der ersten meines Erachtens möglichen Unterstützung geschlossen.
      Weitere wären die eingezeichnete Linie im Tageschart sowie 00 (letztendlich die richtige) gewesen.
      Im GBPUSD Stop zunächst nachgezogen, Position dann aber wg. möglicher Spreadausweitung vorzeitig geschlossen, danach etwas
      rumgewurschtelt.
      Bilder
      • 19.JPG

        53 kB, 639×431, 1.128 mal angesehen
      • 21.JPG

        54,29 kB, 638×432, 1.071 mal angesehen
      • 22.JPG

        53,63 kB, 623×434, 1.092 mal angesehen
      • 0.JPG

        132,92 kB, 816×386, 1.125 mal angesehen
      "Ich habe hierfür einen wahrhaft wunderbaren Beweis, doch ist dieser Rand hier zu schmal, um ihn zu fassen."
      welche Strategie verfolgst du eigentlich bei deinen Trades? Hohe Targets, kleine Targets, ...?


      Hallo Firebold,

      meine Bemühungen dahingehend konzentrieren sich auf den Versuch, Potentiale für hohe und niedrige ( dafür evtl. wahrscheinlichere) Kursveränderungen zu erkennen (bzw. dies zu "lernen" bzw verbessern) und damit einhergehend große und kleine Targets zu setzen.

      Da es am Freitagnachmittag nach Wirtschaftsdaten häufiger zu längeren Trends kommen kann, hielt ich diesmal von vornherein sehr hohe Gewinne für möglich (>100 Pips).
      Nach erfolgreichem Einstieg stellt sich dann natürlich die Frage nach dem Ausstieg. Üblicherweise könnte/sollte man den Stop über Korrekturhochs im Abwärtstrend setzen. Ein solches war allerdings im Cable nicht gegeben, weswegen der Stop auf Breakeven belassen wurde (eine große Korrektur muss man dann eben verkraften). Schließlich war ich mir meiner Sache allerdings nicht mehr so sicher, und wohl im Hinblick auf die Kompensation vorangegangener Verluste verkaufte ich eher ängstlich die Positionen.
      Im Nachhinein hätte hier ein konsequentes Nachziehen des Stops viel mehr gebracht.
      Bilder
      • 1.JPG

        49,13 kB, 558×480, 1.067 mal angesehen
      • 2.JPG

        50,87 kB, 542×491, 1.075 mal angesehen
      "Ich habe hierfür einen wahrhaft wunderbaren Beweis, doch ist dieser Rand hier zu schmal, um ihn zu fassen."
      Hey Sassl,

      welche Strategie verfolgst du eigentlich bei deinen Trades? Hohe Targets, kleine Targets, ...?

      Zum Bezug auf deine Trades am Freitag:

      Diesmal hast du zwar den Trend gehandelt und das mit einem sehr großen Target. Am ersten Bild beim GBP/USD sieht man, das du sehr lange drin geblieben bist, aber deine Position m.E. nicht gut abgesichert hast, obwohl du zwischenzeitlich gut 100 Pip im Plus warst. Anschließend kam eine sehr ausgeprägte Korrektur und im folgenden Abwärtsswing hast du dann erst verkauft. Den Gewinn hättest auch schon früher haben können, und das wesentlich "sicherer". Vielleicht solltest schneller bei so einem hohen Gewinn den SL nachziehen und den Kurs nicht soviel Luft für eine ausgeprägte Korrektur lassen.

      Gruß

      Firebold
      Mag der Pessimist auch Recht behalten - der Optimist hat bis dahin besser gelebt.
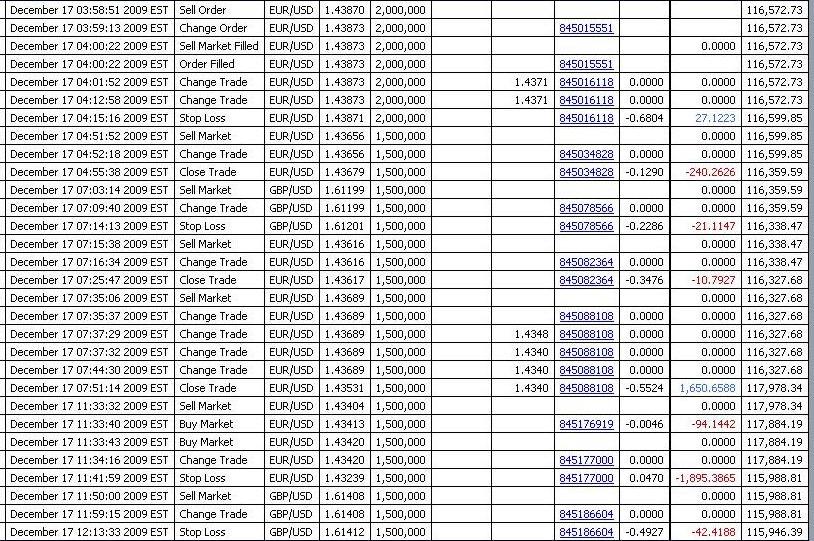
      Nun, heute mal abgeräumt.

      Dazu vielleicht einige Dinge:

      Es wurde erst nach Veröffentlichung der Daten gehandelt und die zweite Position eröffnet als die erste mit Breakeven abgesichert war.

      Einerseits ist es ja schön, dass mal ein größerer Gewinn zustande gekommen ist. Andererseits sollte das nicht darüber hinwegtäuschen,
      dass bis jetzt im "normalen" Handel eher schlechte Ergebnisse erzielt wurden. Von daher weiß ich nicht recht, wie solche Ausreißer
      nun zu werten sind, ich hätte ja heute genausogut zufällig nicht handeln können (Mandelbrot?). Das wird sich vermutlich nur über einen
      längeren Zeitraum zeigen. Angenommen solche positiven Ausreißer würden mit einer gewissen Regelmäßigkeit auftauchen und man
      könnte durch "normalen Handel" ein einigermaßen +-0-Ergebnis einfahren, wäre das schon mal nicht schlecht im Hinblick auf ein dauerhaft positives Ergebnis.

      Der Gewinn hätte noch deutlich höher ausfallen können, wenn ich meine ursprüngliche Strategie - bis in die Abendstunden halten - beibehalten hätte. Schließlich war die Versuchung abzusichern doch zu groß.
      Bilder
      • 8.JPG

        43,88 kB, 584×405, 1.076 mal angesehen
      • 9.JPG

        41,54 kB, 554×411, 1.068 mal angesehen
      • 10.JPG

        127,32 kB, 1.024×331, 1.081 mal angesehen
      "Ich habe hierfür einen wahrhaft wunderbaren Beweis, doch ist dieser Rand hier zu schmal, um ihn zu fassen."
      Heute vor allem in GBPUSD nur Schwachsinn produziert.... :S
      Bilder
      • 01031209.JPG

        44,84 kB, 544×391, 1.083 mal angesehen
      • 02031209.JPG

        43,93 kB, 553×388, 1.060 mal angesehen
      • 03031209.JPG

        190,84 kB, 812×568, 1.094 mal angesehen
      "Ich habe hierfür einen wahrhaft wunderbaren Beweis, doch ist dieser Rand hier zu schmal, um ihn zu fassen."
      Das Angebot steht. Wenn du Fragen zu den 2 Kerzen hast, die ich markiert habe. Stehe ich dir mit Rede und Antwort gerne zur Verfügung. Deinen Thread werde ich aber in Zukfunt meiden. :]

      lg Stadinski

      edit von Hintman: Ich bitte von zweideutigen Aussagen abzusehen, Anfang des Postings gelöscht. Bringt doch niemandem was.